Вы неправильно варили яйца всю свою жизнь? Итальянские ученые изобрели периодическую варку – новый тренд для гурманов
Вы когда-нибудь задумывались, почему так сложно сварить яйцо идеально? Белок уже схватился, а желток еще жидкий, или наоборот — желток переварился, а белок недостаточно плотный. Проблема в том, что белок и желток — это, по сути, две разные субстанции, требующие разных температур для оптимального приготовления. Разделить их перед варкой? Слишком хлопотно! Готовить при компромиссной температуре? Страдает вкус. Но, похоже, решение найдено! И, как это часто бывает, вдохновение пришло… из лаборатории.
В чем же дело?
Группа итальянских ученых под руководством Эрнесто Ди Майо (Ernesto Di Maio) и Пеллегрино Мусто (Pellegrino Musto) разработала поистине революционный метод варки яиц, который они назвали «периодическим». Звучит интригующе, не правда ли? В основе метода лежит… нет, не магия, а точный математический расчет и моделирование теплопередачи.
Дело в том, что белок и желток имеют разную теплопроводность и, соответственно, разную скорость нагрева. Ученые решили использовать этот факт, применив принцип, ранее использовавшийся при создании… многослойных полимерных пен! Вместо того, чтобы поддерживать постоянную температуру, как при обычной варке, они предложили периодически менять температуру окружающей среды.
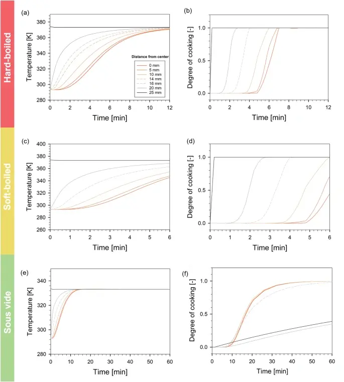
Представьте: сырое яйцо помещают попеременно то в горячую (около 100°C), то в прохладную (около 30°C) воду. Эти «температурные качели» длятся в общей сложности 32 минуты, при этом яйцо находится в горячей воде 2 минуты и в холодной воде 2 минуты. Этот цикл повторяется 8 раз, и, вуаля, — и белок, и желток достигают идеальной консистенции!
Как это работает? Разъясняем!
«Позвольте объяснить,» — как бы сказали сами ученые. Они разработали сложную математическую модель, учитывающую все тонкости процесса: теплопроводность каждой части яйца, кинетику гелеобразования (то есть, «схватывания») белков и даже… форму яйца! С помощью компьютерного моделирования они смогли «поиграть» с параметрами — температурой воды, временем погружения — и найти оптимальный режим.
Оказалось, что при таком периодическом воздействии температура внутри яйца меняется весьма хитрым образом. В то время как белок подвергается «температурным шокам», желток, находящийся в центре, нагревается более равномерно и достигает оптимальной температуры около 67°C. А белок, благодаря «качелям», успевает полностью «схватиться», не перевариваясь.
И что, правда работает?
Чтобы проверить свою теорию, ученые провели серию экспериментов. Они варили яйца четырьмя способами: традиционным (в кипящей воде), «мягким» (в кипящей воде, но меньше времени), sous vide (при постоянной низкой температуре) и, конечно же, своим новым, периодическим методом.
А затем… наступил момент истины. Сваренные яйца подвергли тщательному анализу. С помощью спектроскопии (FT-IR) ученые оценили степень денатурации (изменения структуры) белков — главного показателя «готовности» яйца. Они также провели «текстурный анализ» (TPA), чтобы объективно оценить консистенцию белка и желтка. И, наконец, привлекли экспертов для проведения сенсорного анализа — проще говоря, дегустации.
И знаете что? Результаты подтвердили расчеты! Периодический метод позволил получить яйцо с идеально приготовленным белком и кремообразным желтком. Более того, спектроскопия показала, что при таком способе варки белки денатурируют оптимальным образом, что, вероятно, положительно сказывается и на усвояемости продукта.
Больше, чем просто яйцо?
Но и это еще не все! Анализ питательного профиля яиц, сваренных разными способами, преподнес еще один сюрприз. Оказалось, что при периодической варке в яйце (а именно, в желтке) сохраняется больше полезных веществ, в частности, полифенолов — мощных антиоксидантов, защищающих наш организм от различных заболеваний.
Честно говоря, это впечатляет. Новый метод не только позволяет приготовить яйцо с идеальной текстурой, но и делает его более полезным!
Заглянем в будущее?
Авторы исследования уверены, что их открытие найдет применение не только на кухне. Периодическое изменение температуры может быть использовано и в других областях, например, при производстве материалов, требующих особой структуры, или даже в медицине.
Кто знает, может быть, в будущем мы будем «периодически» обрабатывать не только яйца, но и… что-нибудь еще? Поживем — увидим! А пока… пойду-ка я сварю себе яйцо. По-новому.














