Могут ли чёрные дыры заменить нам адронный коллайдер? Они способны вызывать столкновения частиц с мощностью, недоступной земным ускорителям
Представьте себе: учёные, охотящиеся за самыми неуловимыми частицами во Вселенной, частицами, которые могли бы объяснить загадку тёмной материи и переписать наше понимание космоса. Для этого они строят колоссальные машины, подземные кольца размером с небольшой город, где крошечные частицы разгоняются до умопомрачительных скоростей и сталкиваются лбами. Это — коллайдеры. Большой адронный коллайдер (БАК) в ЦЕРНе — венец творения, чудо инженерной мысли. Но… это невероятно дорого. И долго. Десятилетия проектирования, строительства, миллиарды долларов. А что, если природа уже предоставила нам нечто подобное, причём бесплатно?
Звучит как научная фантастика, не правда ли? Однако недавнее исследование, проведённое астрофизиками из Университета Джонса Хопкинса и Оксфорда, включая такого мэтра, как Джозеф Силк, предлагает взглянуть на сверхмассивные чёрные дыры под совершенно новым углом. Оказывается, эти космические гиганты могут оказаться естественными суперколлайдерами, способными генерировать энергии, сопоставимые, а то и превосходящие те, что достигаются на Земле.
Зачем вообще нам эти коллайдеры?
Прежде чем мы отправимся к чёрным дырам, давайте разберёмся, а зачем вообще учёным нужны эти гигантские «разбиватели частиц»? Всё дело в том, что наш мир состоит из фундаментальных частиц — кирпичиков, из которых сложено всё сущее. Чтобы понять, как они взаимодействуют, какие силы ими управляют, физики сталкивают их с огромной силой. Представьте, что вы хотите узнать, из чего сделаны два ореха. Можно их просто рассмотреть, но если хорошенько стукнуть их друг о друга, они расколются, и вы увидите скорлупу, ядро. Примерно так же, только на гораздо более глубоком уровне, работают коллайдеры.
Одной из главных целей современных экспериментов является поиск частиц тёмной материи. Мы знаем, что она есть — её гравитационное влияние видно повсюду во Вселенной, но сама она невидима и никак не взаимодействует с обычным веществом, кроме как через гравитацию. Это как призрак, держащий галактики вместе. Большой адронный коллайдер, несмотря на все свои успехи (например, открытие бозона Хиггса), пока не смог «поймать» тёмную материю. Поэтому учёные уже задумываются о строительстве ещё более мощного, «следующего поколения» суперколлайдера. Проект обещает быть ещё дороже и ещё дольше — речь идёт о 30 миллиардах долларов и, возможно, 40 годах ожидания. И вот тут-то на сцену выходят чёрные дыры.
Как же это работает, Шерлок? Вращение, плазма и космические джеты!
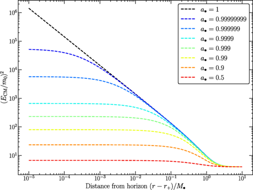
Сверхмассивные чёрные дыры — это настоящие монстры, обитающие в центрах большинства галактик, включая наш Млечный Путь. Их масса может в миллионы и миллиарды раз превышать массу Солнца. И они, как и планеты, могут вращаться вокруг своей оси. Только вот вращение чёрной дыры, да ещё и с её чудовищной гравитацией, — это источник колоссальной энергии.
Вокруг многих таких быстро вращающихся чёрных дыр формируются так называемые аккреционные диски — гигантские вихри из газа и пыли, которые постепенно засасываются внутрь. Это зрелище само по себе впечатляющее. Но самое интересное происходит, когда часть этой материи, вместо того чтобы быть поглощённой, выбрасывается наружу в виде узких, невероятно мощных потоков плазмы — джетов. Эти джеты могут простираться на тысячи световых лет! Учёные давно их наблюдают, но новое исследование предполагает, что именно в этих регионах, близких к чёрной дыре, и могут происходить процессы, аналогичные тем, что мы пытаемся воссоздать в коллайдерах.
Позвольте объяснить. Газовые потоки, приближающиеся к быстро вращающейся чёрной дыре, буквально «накачиваются» энергией от её вращения. Это делает их гораздо более бурными и хаотичными, чем считалось ранее. Частицы в этих потоках начинают сталкиваться друг с другом с немыслимой силой. Да, это не так упорядоченно, как в рукотворном коллайдере, где пучки частиц точно направляются магнитными полями. Вблизи чёрной дыры это скорее напоминает космический «котёл», где всё бурлит и сталкивается.
Некоторые из этих разогнанных частиц, конечно, безвозвратно падают в чёрную дыру. Но другие, благодаря своей колоссальной энергии и импульсу, вырываются наружу. И вот эти-то «счастливчики» и могут нести в себе информацию о процессах, происходящих при сверхвысоких энергиях — энергиях, которые, как подсчитали учёные, вполне могут соответствовать или даже превышать те, что планируется достичь на будущих суперколлайдерах. Представляете? Природа сама проводит эксперименты, о которых мы только мечтаем!
А что, так можно было? Ловим космические «осколки»
«Хорошо, — скажете вы, — допустим, чёрные дыры действительно устраивают такие космические фейерверки. Но как мы об этом узнаем? Они же далеко!» И это справедливый вопрос. Чёрные дыры, в отличие от БАКа, не находятся у нас под боком. Но, по словам Джозефа Силка, частицы, рождённые в этих космических катаклизмах, вполне могут долететь до Земли.
И что самое интересное, нам, возможно, даже не придётся строить что-то принципиально новое для их обнаружения. Уже существуют обсерватории, предназначенные для улавливания высокоэнергетических частиц из космоса — например, нейтрино или космических лучей. Это такие гиганты, как Нейтринная обсерватория IceCube на Южном полюсе, представляющая собой кубический километр льда, напичканный детекторами, или её средиземноморский «коллега» KM3NeT. Именно последний недавно зафиксировал нейтрино рекордной энергии.
Если теория верна, то такие детекторы могли бы поймать необычные, сверхэнергичные частицы, прилетевшие из окрестностей далёких чёрных дыр. Их «подпись» — энергия и характеристики — могли бы стать косвенным доказательством существования тёмной материи или других экзотических частиц. Это, конечно, как признают сами учёные, пока ещё смелое предположение, но оно открывает совершенно новые горизонты.
Не вместо, а вместе?
Так что же, закрываем LHC и переключаемся на чёрные дыры? Конечно, нет. Важно понимать, что наблюдения за природными «коллайдерами» не заменят полностью рукотворные установки. Эксперименты на Земле хороши своей контролируемостью: мы точно знаем, что, с чем и при какой энергии сталкиваем. В случае с чёрными дырами мы лишь наблюдатели грандиозного, но хаотичного природного процесса.
Однако, как подчёркивает профессор Силк, чёрные дыры могут дать нам «взгляд в будущее», предоставить комплементарные данные. Они могут указать на такие энергетические режимы, которые нам ещё долго будут недоступны. Это как два разных инструмента для исследования одной и той же загадки: один точный и управляемый, другой — невероятно мощный, но работающий по своим, пока не до конца понятным нам законам.
И в этом, пожалуй, главная прелесть науки. Пока одни инженеры и физики десятилетиями трудятся над созданием всё более сложных машин, другие обращают свой взор к космосу, пытаясь разгадать, какие ещё сюрпризы приготовила нам Вселенная. И кто знает, возможно, именно эти космические монстры, чёрные дыры, помогут нам приоткрыть завесу над самыми глубокими тайнами бытия. Ведь, как говорится, голь на выдумки хитра, а природа — самый изобретательный из всех экспериментаторов. А мы, люди, всего лишь пытаемся понять её грандиозный замысел.
















