Физика хаоса космической пыли: как искусственный интеллект открывает новые законы вещества
Представьте себе оживлённую толпу на городской площади. Каждый человек движется по своей траектории, но его путь неминуемо зависит от сотен соседей: от кого-то он уворачивается, за кем-то следует, с кем-то сталкивается. Описать поведение всей толпы с помощью простых уравнений практически невозможно. Примерно с такой же проблемой сталкиваются физики, изучая системы многих тел — от скоплений галактик до колоний бактерий. Но недавно группа учёных из Университета Эмори нашла неожиданного помощника для решения этой задачи. Им стал искусственный интеллект, который выступил не в роли ассистента, а в роли полноценного первооткрывателя.
Не просто газ с пылью: почему плазма так важна?
Объектом исследования стала пылевая плазма — явление куда более распространённое, чем можно подумать. Плазма, или ионизированный газ, — это четвёртое и самое обильное состояние вещества во Вселенной. Звёзды, туманности и даже молнии состоят из неё. А если в эту смесь свободных электронов и ионов добавить крошечные твёрдые частицы, получится пылевая плазма.
Где мы её встречаем? Она образует величественные кольца Сатурна. Именно из-за неё лунная пыль, заряженная солнечным ветром, так упорно липнет к скафандрам астронавтов. На Земле же она может создавать серьёзные проблемы: например, во время лесных пожаров частицы сажи в дыму ионизируются и мешают радиосвязи, что критически опасно для пожарных. Изучение этого «непослушного» состояния вещества — ключ к пониманию многих процессов в космосе и на нашей планете.
Когда старых методов недостаточно
Основная сложность в изучении пылевой плазмы, как и любой системы многих тел, — это хаос взаимодействий. Каждая пылинка влияет на своих соседей, создавая вокруг себя сложные силовые поля. Проследить за этим «танцем» тысяч частиц в трёхмерном пространстве — титанический труд.
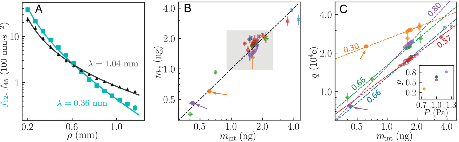
Именно этим и занималась лаборатория экспериментатора Джастина Бёртона. С помощью лазерной томографии учёные кропотливо, слой за слоем, сканировали облако заряженных микрочастиц в вакуумной камере, чтобы построить полную 3D-карту их движения. Они получили огромный массив данных, но как извлечь из него фундаментальные законы? Традиционные модели были либо слишком упрощёнными, либо требовали допущений, в верности которых никто не был уверен.
В этот момент к проекту подключился теоретик Илья Неменман, специалист по коллективному поведению в биологических системах. Его интересовало, можно ли найти универсальные принципы, описывающие движение клеток в организме — например, при формировании метастазов. Пылевая плазма стала для него идеальной «песочницей»: она проще живой ткани, но подчиняется таким же сложным коллективным законам. Стало ясно: нужен новый инструмент, способный увидеть в данных то, что скрыто от человеческого глаза.
Искусственный разум, который не угадывает, а открывает
Когда мы слышим «искусственный интеллект», на ум сразу приходят нейросети вроде ChatGPT, которые обучены на гигантских объёмах текста и способны лишь предсказывать следующее слово в предложении. Но ИИ, созданный командой из Эмори, — совсем другого поля ягода. Его задача была не сгенерировать что-то похожее на правду, а вывести из экспериментальных данных неизвестные физические законы.
В чём же хитрость? Учёные не дали нейросети полную свободу. Они заложили в её архитектуру базовые, незыблемые принципы физики. Например, ИИ «знал», что на частицы действуют три типа сил: сила сопротивления среды (как вязкость), внешние силы (вроде гравитации) и силы взаимодействия между самими частицами. Однако точную природу этих взаимодействий, их формулу, нейросеть должна была найти сама, анализируя траектории частиц.
Это превратило ИИ из «чёрного ящика» в точный измерительный прибор. Он не гадал, а вычислял. Потратив больше года на разработку правильной структуры, физики получили модель, которая с невероятной точностью — более 99% — описала всё происходящее в плазме. И результаты оказались удивительными.
Три открытия, которые удивили физиков
Искусственный интеллект не просто подтвердил существующие теории — он внёс в них существенные поправки, опровергнув несколько устоявшихся представлений.
- Асимметрия сил. Главное открытие — это точное описание так называемых невзаимных сил. Представьте две лодки на озере. Волнение от первой лодки влияет на вторую, а волнение от второй — на первую. Взаимодействие симметрично. А в пылевой плазме всё оказалось иначе: ведущая частица притягивает ту, что движется за ней, а ведомая частица всегда отталкивает ведущую. Об этом феномене догадывались, но ИИ впервые предоставил точную математическую формулу этого странного одностороннего «общения».
- Заряд и размер — не всё так просто. Долгое время считалось, что заряд пылинки прямо пропорционален её радиусу: чем больше частица, тем больше заряд. Логично? Да, но неверно. Модель показала, что эта зависимость гораздо сложнее и зависит от таких параметров плазмы, как её плотность и температура. Старая простая теория отправилась на полку.
- Сила ослабевает по-своему. Ещё одна теория утверждала, что сила взаимодействия между частицами ослабевает с расстоянием по определённому закону, который не зависит от размера самих частиц. ИИ доказал обратное: размер пылинок имеет значение и влияет на то, как быстро затухает их взаимное влияние.
Эти, казалось бы, тонкие нюансы полностью меняют наше понимание динамики пылевой плазмы и заставляют пересмотреть существующие модели.
От космической пыли до живых клеток: что дальше?
Самое ценное в этой работе — не столько новые знания о плазме, сколько сам метод. Созданная учёными платформа универсальна. Её можно применить для анализа любой системы многих тел, будь то стая птиц, косяк рыб или раковая опухоль. Илья Неменман уже планирует обучать этому подходу биологов, чтобы разгадывать тайны коллективного поведения в живой природе.
Эта история — прекрасный пример того, как меняется сама наука. Искусственный интеллект становится не просто калькулятором, а партнёром в совершении открытий. Он не заменяет учёного — ведь именно человеческий интеллект и критическое мышление необходимы, чтобы поставить правильную задачу, спроектировать архитектуру ИИ и, что самое главное, интерпретировать его выводы.
Как метко заметил Джастин Бёртон, это похоже на девиз из «Звёздного пути»: «Смело идти туда, где не ступала нога человека». Похоже, с такими инструментами человечество сможет заглянуть в самые потаённые уголки Вселенной, скрытые в хаотичном танце мириадов частиц.
Источник: www.flickr.com
















