Как деревья ловят пластик из воздуха: учёные объяснили, почему леса стали ловушками для микропластика
Когда мы слышим о пластиковом загрязнении, в голове сразу всплывают образы: черепаха, запутавшаяся в пакете, или гигантские мусорные острова в Тихом океане. Мы привыкли думать, что это проблема далёких морей и замусоренных пляжей. Но что, если я скажу вам, что прямо сейчас невидимый пластиковый дождь оседает на деревьях в лесу, где вы любите гулять по выходным?
До недавнего времени лес казался нам последним оплотом чистоты, природным фильтром, далёким от суеты и грязи городов. Но новое исследование геоучёных из Дармштадтского технического университета в Германии безжалостно рушит эту иллюзию. Впервые им удалось доказать: леса не просто страдают от микропластика — они его активно накапливают, превращаясь в своего рода хранилища для невидимых токсичных частиц. И попадает он туда самым неочевидным путём — прямо с неба.
Как деревья ловят пластик из воздуха?
Давайте разберёмся в механизме, который открыли учёные. Представьте себе обычное дерево. Его крона с тысячами листьев — это не просто фотосинтезирующая фабрика, а гигантская, невероятно эффективная ловушка. Микроскопические частицы пластика (продукты износа шин, волокна синтетической одежды, фрагменты промышленной упаковки) поднимаются в атмосферу и переносятся ветром на сотни километров.
Когда этот невидимый поток воздуха проходит сквозь лесной массив, деревья работают как огромный гребень, «вычёсывая» из него пластиковую пыль. Учёные так и назвали этот процесс — «эффект вычёсывания». Частицы оседают на шероховатой поверхности листьев и хвои, задерживаясь там до первого хорошего дождя.
А дальше всё просто. Вода смывает этот пластиковый «урожай» на землю. Осенью, вместе с опавшей листвой, на лесную подстилку попадает ещё одна порция. И вот здесь начинается самое интересное.
Лесная почва — это не свалка, но работает похоже
Казалось бы, ну упал пластик на землю, и что с того? Лежит себе. Но лесная почва — это живой, дышащий организм. Верхний слой, состоящий из полуразложившихся листьев и веточек, становится первым «приёмником». Именно здесь исследователи обнаружили самые высокие концентрации микропластика.
Но на этом путешествие частиц не заканчивается. В дело вступают главные труженики леса: дождевые черви, бактерии, грибы. Перерабатывая органику, они постепенно утягивают микропластик всё глубже и глубже в почву. В результате, как показали пробы, пластик обнаруживается не только на поверхности, но и в нижних слоях грунта, где он может оставаться десятилетиями, если не столетиями.
Получается, что лес, который мы считали символом чистоты, на деле функционирует как долгосрочный накопитель антропогенного мусора.
Лес как улика: что нашли учёные?
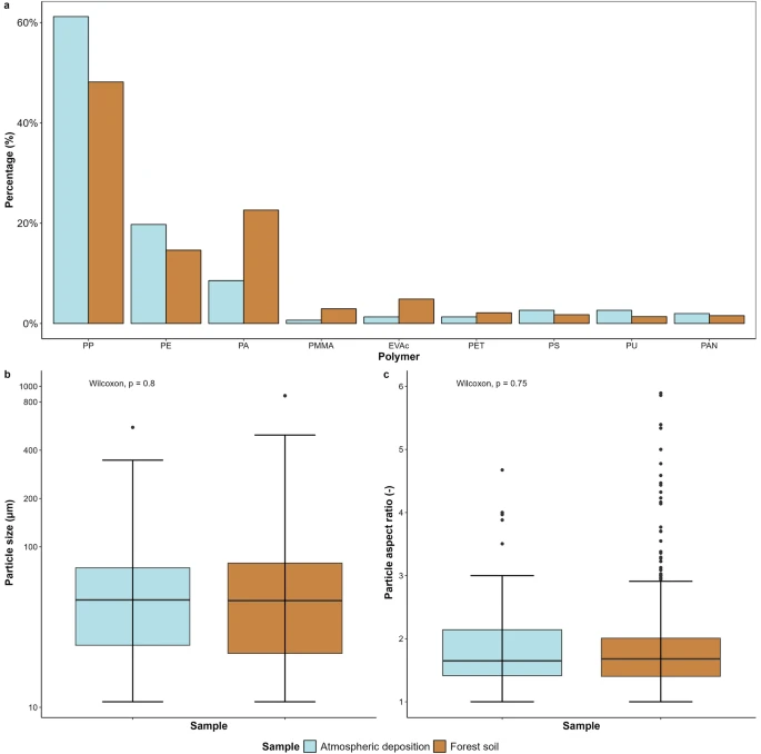
Чтобы не быть голословными, немецкие исследователи провели скрупулёзную работу. Они взяли образцы почвы, опавшей листвы и даже атмосферных осадков в четырёх лесных зонах недалеко от Дармштадта. При помощи новейших спектроскопических методов они смогли не только посчитать количество частиц, но и определить их химический состав.
Более того, они построили математическую модель, чтобы оценить, сколько пластика могло попасть в эти леса из атмосферы начиная с 1950-х годов — эпохи начала массового производства пластмасс.
Вывод оказался однозначным: основным источником загрязнения лесов являются именно атмосферные осадки и листопад. Прямое загрязнение (например, мусор, оставленный туристами) играет в этой картине совершенно незначительную роль. Это значит, что даже самый заповедный и охраняемый лес, куда не ступала нога человека, беззащитен перед невидимым пластиковым дождём.
Что это значит для нас с вами?
Во-первых, леса теперь можно считать надёжным индикатором загрязнения воздуха. Если в лесной почве много микропластика — значит, атмосфера над этим регионом буквально им насыщена. Это уже не просто экологическая проблема, а вопрос здравоохранения. Ведь если пластик оседает на листьях, он точно так же оседает и в наших лёгких.
Во-вторых, это новый, ранее неучтённый стресс для лесных экосистем. Леса по всему миру и так страдают от изменения климата, засух и вредителей. Как повлияет на хрупкий баланс лесной жизни постоянное присутствие инородных химических частиц в почве? Как это скажется на микроорганизмах, на здоровье корней деревьев, на чистоте грунтовых вод? Честно говоря, ответов на эти вопросы пока нет, и это пугает.
Исследование немецких учёных — это не просто ещё одна страшилка про экологию. Это фундаментальный сдвиг в нашем понимании проблемы. Пластик — это не то, что плавает где-то далеко. Он уже здесь, в воздухе, которым мы дышим, и в земле, которая нас кормит. И самые тихие, зелёные уголки нашей планеты, как оказалось, ведут молчаливую летопись нашего безрассудства.
Источник: www.freepik.com















