Главная ошибка в поиске темной материи? Ученые десятилетиями смотрели на свет, а нужно было — на тень
Представьте себе, что 85% всего вещества во Вселенной — это невидимая, неосязаемая субстанция. Она не светится, не отражает свет и не поглощает его. Она просто есть, и ее присутствие мы ощущаем лишь по гравитационному влиянию на звезды и галактики. Это не сюжет фантастического романа, а научная реальность, известная как проблема темной материи. Десятилетиями физики и астрономы строят гипотезы и ставят сложнейшие эксперименты, пытаясь «поймать за хвост» эту призрачную сущность.
И вот, недавно, группа ученых предложила идею, которая может изменить правила игры. Что, если мы искали не совсем то? Что, если темная материя не абсолютно прозрачна, а ведет себя, скорее, как полупрозрачный абажур, слегка приглушающий свет далеких звезд? Этот элегантный и, на первый взгляд, простой подход открывает совершенно новое окно возможностей для решения одной из величайших загадок современной науки.
Гравитация как фонарик: традиционный поиск
Чтобы понять всю новизну идеи, нужно сначала разобраться, как ученые искали темную материю до сих пор. Поскольку она невидима, единственный инструмент в нашем распоряжении — это гравитация. Согласно общей теории относительности Эйнштейна, любой массивный объект искривляет пространство-время вокруг себя. Свет от далекой звезды, проходя мимо такого объекта, тоже искривляет свою траекторию.
Этот эффект, называемый гравитационным линзированием, работает как космическая лупа. Если между нами и далекой звездой проходит массивный сгусток темной материи, его гравитация сфокусирует свет звезды, и она на короткое время покажется нам ярче. Этот феномен в малых масштабах называют микролинзированием.
Именно на поиске таких кратковременных «вспышек» яркости и сосредоточены многие астрономические обзоры, например, знаменитый проект OGLE. Логика проста: наблюдаем за миллионами звезд и ждем, пока какая-нибудь из них не станет ярче. Если это произошло, возможно, виной тому — невидимый сгусток темной материи, выступивший в роли линзы.
Но у этого метода есть слабое место. Он хорошо работает только для компактных и плотных объектов. А что, если темная материя собирается в огромные, но очень рыхлые, «пушистые» облака? Их гравитационного поля может быть недостаточно для заметного эффекта линзирования. Такие объекты просто ускользают от нашего внимания.
Новый взгляд: не усилить, а приглушить
И вот здесь на сцену выходит идея «абажура». Исследователи во главе с Мелиссой Даймонд из канадского Университета Куинс предположили, что стоит искать не усиление света, а его ослабление.
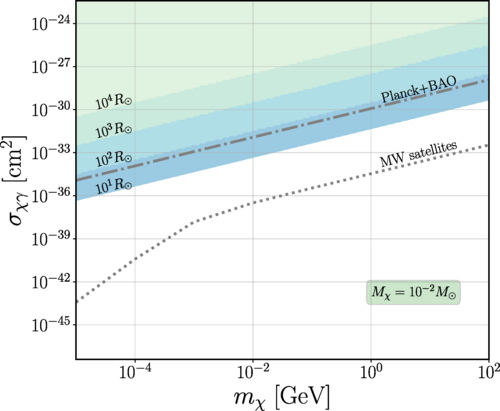
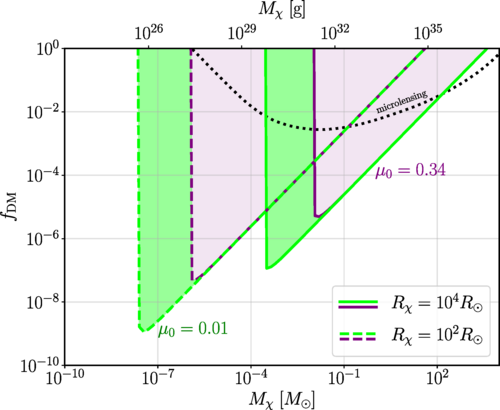
Их гипотеза касается одного из кандидатов на роль темной материи — так называемых MACHO (Massive Astrophysical Compact Halo Objects, или массивных астрофизических компактных объектов гало). В отличие от экзотических гипотетических частиц, MACHO, как предполагается, состоят из обычной, барионной материи — той же, из которой состоят планеты, звезды и мы с вами. Просто по какой-то причине они не излучают свет.
Ключевая мысль заключается в том, что даже если темная материя взаимодействует со светом невероятно слабо, то в масштабах гигантского облака этот эффект может стать заметным. «Хотя мы обычно говорим, что темная материя совсем не взаимодействует со светом, на самом деле допускается, что она может делать это, но очень незначительно», — поясняет Даймонд.
Представьте себе такое облако-MACHO, проплывающее между нами и далекой звездой. Оно не будет работать как линза, но его частицы, пусть и слабо, будут рассеивать и блокировать свет. В результате звезда не станет ярче — наоборот, она на время немного потускнеет. Эффект похож на то, как абажур на лампе не блокирует свет полностью, а лишь делает его мягче и слабее.
Прелесть этого подхода в том, что он нацелен как раз на те объекты, которые пропускают традиционные методы поиска — большие и разреженные облака, слишком «пушистые» для гравитационного линзирования.
Отличить тень от планеты: главная сложность
Конечно, все не так просто. Звезды могут тускнеть по множеству причин. Перед ними может пройти планета, облако межзвездного газа или даже другая, более тусклая звезда. Как отличить затемнение от настоящего «абажура» из темной материи?
Это, пожалуй, самая сложная задача. Ученые предлагают несколько путей ее решения. Во-первых, можно провести статистический анализ. Мы примерно знаем, как часто перед звездами проходят планеты или газовые облака. Если мы зафиксируем значительно больше случаев затемнения, чем предсказывает теория, это может быть сигналом о присутствии чего-то нового — например, тех самых MACHO.
Во-вторых, характер затемнения может выдать его причину. Непрозрачный объект вроде планеты вызовет резкое и четкое падение яркости звезды. А вот полупрозрачное, диффузное облако темной материи должно создавать более плавное и постепенное затемнение. Анализируя «кривую блеска» — график изменения яркости звезды со временем, — можно будет сделать выводы о природе объекта, вызвавшего затемнение.
Наука из старых архивов и беспроигрышная стратегия
Что самое замечательное в этой идее, так это ее экономичность. Для проверки гипотезы не нужно строить новые дорогостоящие телескопы. Можно просто взять огромные массивы данных, уже собранные проектами вроде OGLE, и проанализировать их заново, но уже с другой целью — искать не усиление яркости, а ее ослабление. Это элегантный пример того, как новый теоретический взгляд может вдохнуть жизнь в старые данные.
В конечном счете, эта научная затея — беспроигрышная лотерея. Если ученые найдут свидетельства «эффекта абажура», это станет огромным прорывом. Мы не только получим весомые доказательства существования MACHO, но и сможем больше узнать о свойствах темной материи — насколько она плотная, как взаимодействует со светом.
Но даже если поиски не увенчаются успехом, это тоже будет ценный результат. Отрицательный результат в науке не менее важен, чем положительный. Он позволит нам исключить один из вариантов и сузить круг поисков. Мы будем знать, чем темная материя не является, и это приблизит нас к разгадке ее истинной природы. А пока астрономы готовятся пересмотреть архивы наблюдений, мы можем лишь с волнением ждать, не откроется ли нам Вселенная с новой, доселе невиданной, затененной стороны.














