Новый взгляд на рождение Вселенной: Как суперкомпьютеры помогли «увидеть» кварк-глюонную плазму
Представьте себе Вселенную в самые первые мгновения ее существования. Не ту, что мы видим сегодня, с галактиками, звездами и планетами, а нечто невообразимо горячее и плотное. В этом первозданном «бульоне» еще не было привычных нам протонов и нейтронов. Вместо них свободно плавали их фундаментальные составляющие — кварки и глюоны. Это экзотическое состояние вещества, известное как кварк-глюонная плазма (КГП), просуществовало лишь краткий миг, но его изучение — ключ к пониманию самых ранних этапов эволюции нашего мира. И вот, итальянские физики сделали важный шаг, уточнив, как вела себя эта плазма, и какую роль в ней играло могущественное сильное взаимодействие.
Космический суп из первых ингредиентов: что такое кварк-глюонная плазма?
Чтобы понять, о чем идет речь, давайте на минутку заглянем в учебник физики элементарных частиц. Протоны и нейтроны, из которых состоят ядра атомов (а значит, и мы с вами), на самом деле не такие уж «элементарные». Каждый из них — это трио из частиц поменьше, называемых кварками. А скрепляют эти кварки вместе другие частицы — глюоны, переносчики так называемого сильного ядерного взаимодействия. Это самое сильное из четырех фундаментальных взаимодействий в природе, настолько мощное, что «склеивает» кварки в протонах и нейтронах намертво.
Ну, почти намертво.
В первые микросекунды после Большого Взрыва температура Вселенной была чудовищной — триллионы градусов! При такой жаре энергии было столько, что кварки и глюоны просто не могли «слипнуться» в адроны (общее название для частиц вроде протонов и нейтронов). Они существовали в виде эдакого «супа» — кварк-глюонной плазмы. Это состояние очень похоже на обычную плазму, которую мы знаем (например, в плазменных телевизорах или молниях), где электроны отрываются от атомов. Только в КГП «отрываются» друг от друга кварки и глюоны.
Затем Вселенная начала остывать. Примерно через одну микросекунду после Большого Взрыва температура упала до критической отметки (около 20 триллионов Кельвинов, или, переводя в энергетические единицы, около 150 МэВ), и произошла «адронизация» — кварки и глюоны наконец-то объединились, сформировав знакомые нам частицы. А вот до этого момента, в промежутке между примерно 10⁻¹² секунды (когда произошло электрослабое разделение сил) и 10⁻⁶ секунды после Большого Взрыва, и царила эпоха кварк-глюонной плазмы. Впервые намеки на ее существование были получены, а затем и убедительно подтверждены экспериментально в ЦЕРНе в 2000 году, где ученые научились на крошечные мгновения воссоздавать условия ранней Вселенной, сталкивая тяжелые ионы.
Загадка сильного взаимодействия: почему так сложно описать плазму?
Казалось бы, если мы знаем составляющие и силы, то описать их коллективное поведение — дело техники. Но не тут-то было! Уравнение состояния вещества — это как его «паспорт», описывающий связь между температурой, давлением, плотностью энергии и другими характеристиками. Для идеального газа оно простое (помните из школы PV=nRT?). Но для кварк-глюонной плазмы все гораздо хитрее.
Проблема в том самом сильном взаимодействии. Теория, его описывающая, называется квантовой хромодинамикой (КХД). И она, мягко говоря, непроста. Физики часто используют так называемую теорию возмущений: если взаимодействие слабое, его можно рассматривать как небольшую «поправку» к свободному движению частиц. Так работает, например, с электромагнетизмом, где «сила» взаимодействия (константа тонкой структуры) мала — всего 1/137. А вот в КХД константа связи, наоборот, велика. Более того, глюоны, в отличие от беззарядных фотонов (переносчиков электромагнетизма), сами несут «цветовой заряд» — тот самый заряд сильного взаимодействия. Это делает математику КХД чрезвычайно запутанной. Еще одна особенность — так называемая асимптотическая свобода: на очень малых расстояниях кварки ведут себя почти как свободные частицы, но стоит им немного разойтись, как сила между ними резко возрастает, не давая им «убежать» далеко друг от друга.
Из-за этих сложностей стандартные методы расчета здесь не годятся. И что же делать?
Решетка вместо континуума: как суперкомпьютеры помогают физикам
На помощь приходит решеточная КХД. Идея в том, чтобы заменить непрерывное пространство-время дискретной сеткой — «решеткой». Физические величины вычисляются в узлах этой решетки, что позволяет обойти многие математические трудности, связанные с непрерывностью и силой взаимодействия. Затем, шаг решетки мысленно устремляют к нулю, чтобы приблизиться к реальной картине. Конечно, такие расчеты требуют колоссальных вычислительных мощностей — здесь без суперкомпьютеров никуда.
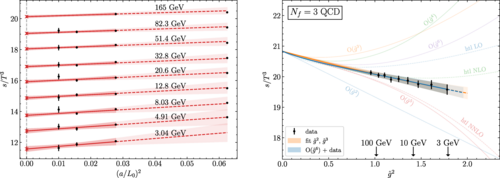
Именно этим методом и воспользовалась группа итальянских ученых из Миланского университета Бикокка и Национального института ядерной физики (INFN). Их цель — получить уравнение состояния КХД для очень высоких температур, вплоть до момента электрослабого фазового перехода (энергии около 100 ГэВ). Это значительно шире, чем предыдущие расчеты, которые обычно ограничивались энергиями ниже 1 ГэВ.
Итальянский прорыв: новый взгляд на древнюю плазму
Что же такого особенного в работе итальянцев? Во-первых, они применили совершенно новую вычислительную стратегию, разработанную некоторыми из соавторов в 2022 году. В ее основе — методы Монте-Карло, которые позволяют получать численные результаты путем многократного случайного «проигрывания» ситуаций на решетке. Во-вторых, они сосредоточились на сценарии с тремя типами (или «ароматами») безмассовых кварков. Почему безмассовых? Потому что при тех колоссальных энергиях, которые были в ранней Вселенной, собственная масса кварков была пренебрежимо мала по сравнению с энергией, заключенной в окружающих их глюонных полях.
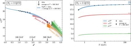
В результате кропотливых вычислений исследователи получили уравнение состояния для плотности энтропии (меры беспорядка системы) кварк-глюонной плазмы в диапазоне температур от 3 ГэВ до впечатляющих 165 ГэВ. Это уравнение выражено в виде довольно сложной формулы — полинома седьмой степени, где переменной выступает константа сильного взаимодействия, сама зависящая от температуры. Важно, что им удалось показать: «артефакты» решеточных вычислений (искажения, связанные с дискретностью сетки) оказались на удивление малы, что говорит о высокой точности результатов для реального, непрерывного мира.
А дальше, зная плотность энтропии, уже не так сложно по стандартным термодинамическим формулам рассчитать давление и плотность энергии плазмы. И вот здесь их ждал интересный вывод: полученные значения давления никак не укладывались в модели, где кварки и глюоны взаимодействуют слабо. Это означает, что сильное взаимодействие играло значительную роль в кварк-глюонной плазме на гораздо более ранних этапах и при более высоких температурах, чем считалось ранее! То есть, «суп» из кварков и глюонов был далеко не идеальным, а очень даже «густым» и сильно взаимодействующим.
Зачем нам это знание?
Может показаться, что все эти кварки, глюоны и триллионы градусов — это что-то невообразимо далекое от нашей повседневной жизни. И отчасти это так. Но не совсем.
Понимая, как вела себя материя в экстремальных условиях ранней Вселенной, мы уточняем наши космологические модели. Мы лучше представляем, как из первозданного «огненного шара» зародилось все то многообразие, которое мы видим вокруг. Каждый такой шаг, каждое новое уточнение уравнения состояния кварк-глюонной плазмы — это еще один мазок на картине Большого Взрыва.
Кроме того, такие исследования толкают вперед и вычислительную физику, стимулируя разработку новых алгоритмов и требуя все более мощных суперкомпьютеров. Как отмечают сами авторы, для дальнейшего улучшения результатов и расширения диапазона исследований потребуются еще большие вычислительные ресурсы.
Так что, хотя кварк-глюонная плазма и просуществовала всего мгновение, ее изучение — это увлекательное путешествие к самым истокам нашего мира. И каждый новый результат, подобный тому, что получили итальянские физики, помогает нам чуть лучше понять, как из невероятного хаоса родилась упорядоченная и прекрасная Вселенная. А это, согласитесь, дорогого стоит.













